Системы двух линейных уравнений с двумя неизвестными

Системы двух линейных уравнений с двумя неизвестными.

Основные  методы решения: подстановка, сложение или вычитание .

Определители второго порядка. Правило Крамера.

Исследование решений системы уравнений.

Системы двух линейных уравнений с двумя неизвестными имеют вид:

где a , b , c , d , e , f – заданные числа; x , y – неизвестные. Числа a , b , d , e коэффициенты при неизвестных ; c , f свободные члены . Решение этой системы уравнений может быть найдено двумя основными  методами.

Метод подстановки.

1)  Из одного уравнения выражаем одно из неизвестных, например

x , через коэффициенты и другое неизвест ное y :

x = ( c – by ) / a . (2)

2)  Подставляем во второе уравнение вместо x :

d ( c by ) / a + ey = f .

3)  Решая последнее уравнение, находим y :

y = ( af – cd ) / ( ae – bd ).

4)  Подставляем это значение вместо y в выражение (2) :

x = ( ce bf ) / ( ae bd ) .

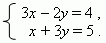
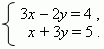
П р и м е р .  Решить систему уравнений:

Из первого уравнения выразим х через коэффициенты и y :

x = ( 2 y + 4 ) / 3 .

Подставляем это выражение во второе уравнение и находим y :

( 2 y + 4 ) / 3 + 3 y = 5 , откуда y = 1 .

Теперь находим х , подставляя найденное значение вместо y в

выражение для х : x = ( 2 · 1 + 4 ) / 3, откуда x = 2 .

Сложение или вычитание. Этот метод состоит в следующем.

1)  Умножаем обе части 1- го уравнения системы (1) на (– d ), а обе части 2- го уравнения на а и складываем их:

Отсюда получаем: y = ( af cd ) / ( ae bd ) .

2)  Подставляем найденное для y значение в любое уравнение системы (1):

ax + b( af – cd ) / ( ae – bd ) = c .

3)  Находим другое неизвестное: x = ( ce bf ) / ( ae bd ) .

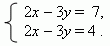
П р и м е р .  Решить систему уравнений:

методом сложения или вычитания.

Умножаем первое уравнение на  –1, второе – на 3 и складываем их:

отсюда y = 1. Подставляем это значение во второе уравнение

(а в первое можно?): 3 x + 9 = 15, отсюда x = 2.

Определители второго порядка. Мы видели, что формулы для решения системы двух линейных уравнений с двумя неизвестными имеют вид:

x = ( ce – bf ) / ( ae – bd ) ,

(3)

y = ( af – cd ) / ( ae – bd ) .

Эти формулы легко запоминаются, если ввести для их числителей и знаменателей следующий символ:

, который будет обозначать выражение: ps qr .

Это выражение получается перекрёстным умножением чисел p , q , r , s :

и последующим вычитанием одного произведения из другого: ps qr . Знак « + » берётся для произведения чисел, лежащих на диагонали, идущей из левого верхнего числа к правому нижнему; знак  « – » - для другой диагонали, идущей из правого верхнего числа к левому нижнему. Например,


Выражение называется определителем второго порядка .

Правило Крамера. Используя определители, можно переписать формулы (3):

Формулы (4) называются правилом Крамера для системы двух линейных уравнений с двумя неизвестными.

П р и м е р .  Решить систему уравнений

используя правило Крамера.

Р е ш е н и е .  Здесь a = 1, b = 1, c = 12, d = 2, e = 3, f = 14 .

Исследование решений системы двух линейных уравнений с двумя неизвестными, показывает, что в зависимости от коэффициентов уравнений возможны три различных случая:

1) коэффициенты при неизвестных не пропорциональны : a : d b : e ,

в этом случае система линейных уравнений имеет единственное решение , получаемое по формулам (4);

2) все коэффициенты уравнений пропорциональны : a : d = b : e = c : f ,

в этом случае система линейных уравнений имеет бесконечное множество реше ний , так как здесь мы имеем фактически одно уравнение вместо двух.

П р и м е р .  В системе уравнений

и эта система уравнений имеет бесконечное множество решений.

Разделив первое уравнение на 2, а второе – на 3, мы получим два

одинаковых уравнения:

т.е. фактически одно уравнение с двумя неизвестными, у которого

бесконечное множество решений.

3) коэффициенты при неизвестных пропорциональны, но не пропорциональны свободным членам : a : d = b : e c : f ,

в этом случае система линейных уравнений не имеет решений , так как мы имеем противоречивые уравнения.

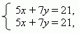
П р и м е р .  В системе уравнений

но отношение свободных членов  7 / 12  не равно 1 / 3.

Почему эта система не имеет решений? Ответ очень простой.

Разделив второе уравнение на 3, мы получим:

Уравнения этой системы противоречивы, потому что одно и то

же выражение  2 x – 3 y не может быть одновременно равно и 7, и 4.

Назад