Помощь Решение Ответы

Помощь Решение Ответы

Помощь Решение Ответы

Помощь Решение Ответы

Помощь Решение Ответы

Помощь Решение Ответы

Помощь Решение Ответы

Помощь Решение Ответы

Помощь Решение Ответы

Помощь Решение Ответы

Помощь Решение Ответы

Помощь Решение Ответы

Помощь Решение Ответы

Помощь Решение Ответы

Помощь Решение Ответы

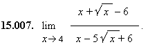
Вычислить пределы , используя правило Лопиталя :

Помощь Решение Ответы

Помощь Решение Ответы

Здесь предполагается , что x > 0.

Помощь Решение Ответы

Помощь Решение Ответы

Здесь предполагается , что x > 0.

Помощь Решение Ответы