Прямая

Общее уравнение прямой. Нормальный вектор.

Уравнение прямой с угловым коэффициентом.

Уравнение прямой в отрезках на осях. Уравнение прямой, проходящей

через две различные точки. Параметрическое уравнение прямой.

Условие параллельности прямых. Условие перпендикулярности прямых.

Расстояние между двумя точками . Расстояние от точки до прямой.

Расстояние между параллельными прямыми. Угол между прямыми.

Общее уравнение прямой:

Ах +  Ву +  С = 0 ,

где А и В не равны нулю одновременно.

Коэффициенты А и В являются координатами нормального вектора прямой ( т.е. вектора, перпендикулярного прямой ). При А = 0  прямая параллельна оси ОХ , при В = 0 прямая параллельна оси О Y .

При В 0 получаем уравнение прямой с угловым коэффициентом :

Уравнение прямой, проходящей через точку ( х 0 , у 0 ) и не параллельной оси OY , имеет вид:

у у 0 = m ( x х 0 ) ,

где m угловой коэффициент , равный тангенсу угла, образованного данной прямой и положительным направлением оси ОХ .

При А 0, В 0 и С 0 получаем уравнение прямой в отрезках на осях :

где a = – C / A , b = – C / B . Эта прямая проходит через точки ( a , 0 ) и ( 0, b ), т.е. отсекает на осях координат отрезки длиной a и b .

Уравнение прямой, проходящей через две различные точки ( х

1 , у 1 ) и ( х 2 , у 2 ):

Параметрическое уравнение прямой , проходящей через точку ( х 0 , у 0 ) и парал лельной направляющему вектору прямой ( a , b ) :

Условие параллельности прямых:

1)  для прямых Ах+ Ву+ С = 0  и D х+ E у+ F = 0 : AE BD = 0 ,

2)  для прямых у = m x + k и у = p x + q : m = p .

Условие перпендикулярности прямых:

1)  для прямых Ах+ Ву+ С = 0  и D х+ E у+ F = 0 : AD + BE = 0 ,

2)  для прямых у = m x + k и у = p x + q : m p = – 1 .

Расстояние между двумя точками ( x 1 , y 1 ) и ( x 2 , y 2 ) :

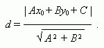
Расстояние от точки ( х 0 , у 0 ) до прямой Ах+ Ву+ С = 0 :

Расстояние между параллельными прямыми Ах+ Ву+ С = 0 и A х+ B у+ F = 0 :

Угол между прямыми:

Назад