Определение и основные свойства вероятности

Аксиоматическое и классическое определение вероятности.

Вероятность события. Основные свойства вероятности.

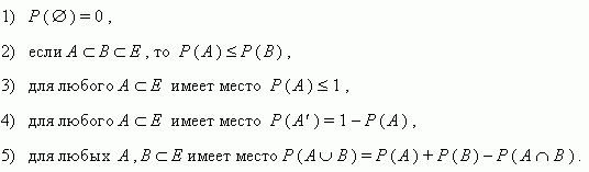
Аксиоматическое определение вероятности . Пусть задано пространство элементарных событий Е и каждому событию А Е поставлено в соответствие единственное число Р ( А ) такое, что:

Тогда говорят, что на событиях в множестве Е задана вероятность, а число Р ( А ) называется вероятностью события А .

Классическое определение вероятности . Пусть пространство элементарных событий Е состоит из N равновозможных элементарных событий, среди которых имеется n событий, благоприятствующих событию А , тогда число

Р ( А ) = n / N

называется вероятностью события А .

Основные свойства вероятности . Пусть задано пространство элементарных событий Е , а вероятности Р определены на событиях из Е . Тогда:

Назад